Предварительной подготовки и записи на исследование не требуется.
ПРИЕМ БИОМАТЕРИАЛА:
- понедельник-четверг: с 08:30 до 15:00,
- пятница: с 08:30 до 14:00 (Не принимается кровь на исследования А12.05.024 «Определение холодовых антиэритроцитарных антител в крови»).
Сроки готовности результатов исследований: 1—2 рабочих дня в зависимости от типа исследования, подробная информация в регистратуре.
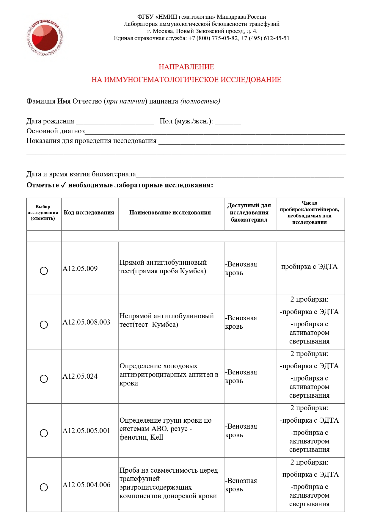
ТРЕБОВАНИЯ К МАТЕРИАЛУ ДЛЯ ИССЛЕДОВАНИЯ:
- периферическая кровь принимается в вакуумных пробирках с ЭДТА (EDTA KE) и в вакуумных пробирках с активатором свертывания (Кремнезем или Serum Z) объёмом 5-7 мл;
- после забора крови пробирку рекомендуется перевернуть 3-5 раз во избежание образования сгустка; при наличии сгустка в пробирках с ЭДТА исследование проведено быть не может;
ТРЕБОВАНИЯ К ХРАНЕНИЮ И ДОСТАВКЕ:
- доставка в лабораторию в течение 4 часов возможна при комнатной температуре; хранение и доставка более 4 часов осуществляется при температуре от +4°C до +8°C в срок не превышающий 48 часов;
- замораживание венозной крови не допускается;
НЕОБХОДИМЫЕ ДОКУМЕНТЫ ДЛЯ ПРОВЕДЕНИЯ ИССЛЕДОВАНИЯ:
- Направление с указанием услуги, Ф.И.О. и даты рождения пациента, контактов направившего врача (см.ниже).
- При наличии медицинского заключения возможно предоставить копию. При отсутствии медицинского заключения, в направлении указать направительный диагноз.
При направлении в Центр биоматериала для лабораторных исследований курьерской службой и оплате медицинских услуг на расчётный счёт.
Необходимо прикладывать сопровождающие документы:
- Договор на оказание платных медицинских услуг.
- Информированное добровольное согласие пациента на предоставление платных медицинских услуг.
- Согласие на обработку персональных данных.
Перед отправкой биоматериала для лабораторных исследований с помощью курьерской службы выше перечисленные документы необходимо сформировать, обратившись к специалисту коммерческого отдела службы организации оказания медицинской помощи в системе обязательного медицинского страхования и внебюджетной деятельности по телефону +7 (495) 612-80-92 или по электронной почте oplata@blood.ru:
- понедельник - четверг с 9:00 до 17:45,
- пятница с 9.00 до 16:30,
- суббота и воскресенье – выходной
Обязательно направляйте биоматериал с сопровождающими документами! Биоматериал будет принят в работу только при наличии необходимых документов!
